编辑:ddayh.cn








外侧髁间嵴附近的前交叉韧带纤维在稳定性测试时承受的载荷最大
而且在被动屈曲时更具有等长性
译者 薛震 哈尔滨医科大学附属第二医院
背景:前交叉韧带的股骨止点有直接纤维和间接纤维,分别位于股骨足印区的高(前)区和低(后)区。
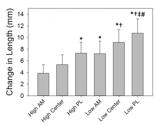
方法:将10个新鲜冰冻的尸体膝关节固定在机械臂上。在屈曲30度和屈曲90度时施加134N的前向应力,并在屈曲15度时施加外翻(8 N·m)和内旋扭力(4 N·m) 的合力来模拟前向和旋转稳定性测试。前交叉韧带在股骨足印区纤维被分割为两部分,一部分是邻近外侧髁间嵴直接纤维止点的较高偏前的纤维束,另一部分是位于间接纤维止点新月形的较低偏后的纤维束。模拟完整膝关节的运动学过程,分别测量止点的每一部分纤维所受到的力量。在股骨足印区的高区和低区的前内、中央和后外三个位置分别进行虚拟纤维的等长性测定。
结果:在膝关节屈曲30度时给予前向应力,高区的纤维承担了前交叉韧带总力量负荷的83.9%,而低区的纤维承担了16.1% (P<0 .001)。在膝关节屈曲90度时,高区纤维也比低区纤维承载较大的前向应力(95.2% Vs 4.8%;P<0 .001)。在膝关节屈曲15度时的联合扭矩下,高区纤维承担了84.2%的前向应力,而低区纤维承担了15.8%的前向应力(P<0 .001)。位于股骨足印区高区的虚拟的前交叉韧带前内侧部分纤维等长性最好,最大长度变化只有3.9± 1.5 mm。
结论:与低区纤维相比,位于股骨足印区较高位置的前交叉韧带纤维在稳定性测试中承受了更大的力,而且在屈曲时等长性更好。
临床意义:重建前交叉韧带时,在股骨外侧髁间嵴建立更高的股骨隧道可能是有利的。
热门中医儿科